Contoh Surat Lamaran Cpns Tulis Tangan / Surat Lamaran Cpns 2017 Diketik Atau Tulis Tangan Rekrutmen Lowongan Kerja Bulan Maret 2021 : Contoh surat lamaran kerja untuk perusahaan tulis tangan.

Info Populer 2022

Contoh Surat Lamaran Cpns Tulis Tangan / Surat Lamaran Cpns 2017 Diketik Atau Tulis Tangan Rekrutmen Lowongan Kerja Bulan Maret 2021 : Contoh surat lamaran kerja untuk perusahaan tulis tangan.

Contoh Surat Lamaran Cpns Tulis Tangan / Surat Lamaran Cpns 2017 Diketik Atau Tulis Tangan Rekrutmen Lowongan Kerja Bulan Maret 2021 : Contoh surat lamaran kerja untuk perusahaan tulis tangan.
Contoh Surat Lamaran Cpns Tulis Tangan / Surat Lamaran Cpns 2017 Diketik Atau Tulis Tangan Rekrutmen Lowongan Kerja Bulan Maret 2021 : Contoh surat lamaran kerja untuk perusahaan tulis tangan.

Contoh Surat Lamaran Cpns Tulis Tangan / Surat Lamaran Cpns 2017 Diketik Atau Tulis Tangan Rekrutmen Lowongan Kerja Bulan Maret 2021 : Contoh surat lamaran kerja untuk perusahaan tulis tangan.. Surat lamaran ini merupakan bentuk surat resmi, yang biasanya di wajibkan menggunakan tulis tangan dan atau cetak printer. Bapak/ibu kepala sekolah sd islam terpadu ruko anggrek blok bagi kalian yang lagi mencari format surat lamaran kerja untuk cpns dalam bentuk tulisan tangan, silahkan ikuti format dibawah ini. Apabila dikemudian hari ditemukan data/keterangan yang tidak benar, maka saya menerima keputusan panitia seleksi membatalkan kelulusan saya pada seleksi. Salah satu contohnya adalah bnp2tki yang mewajibkan pelamar mengunggah surat lamaran tulis tangan. Format penulisan surat lamaran kerja, beberapa tips dan contoh surat lamaran kerja secara umum yang baik dan benar di pt dalam bahasa seperti keterangan yang saya tulis di atas, saya memiliki motivasi untuk menjadi seorang guru di smp negeri 1 solo yang bapak/ibu pimpin sekarang ini.

Meski baru calon, contoh surat lamaran cpns ini tidak bisa dianggap remeh. Namun jika diperhatikan secara lebih mendalam, contoh surat lamaran kerja tulis tangan ini memiliki makna yang sangat besar. Seluruh narasi surat lamaran ditulis tangan sendiri dengan tinta hitam. Surat lamaran kerja juga mempunyai sistematika penulisan yang harus kita ikuti. Biasanya, surat lamaran tulis tangan ini dipakai untuk melamar cpns, pabrik, toko retail, dan lainnya.

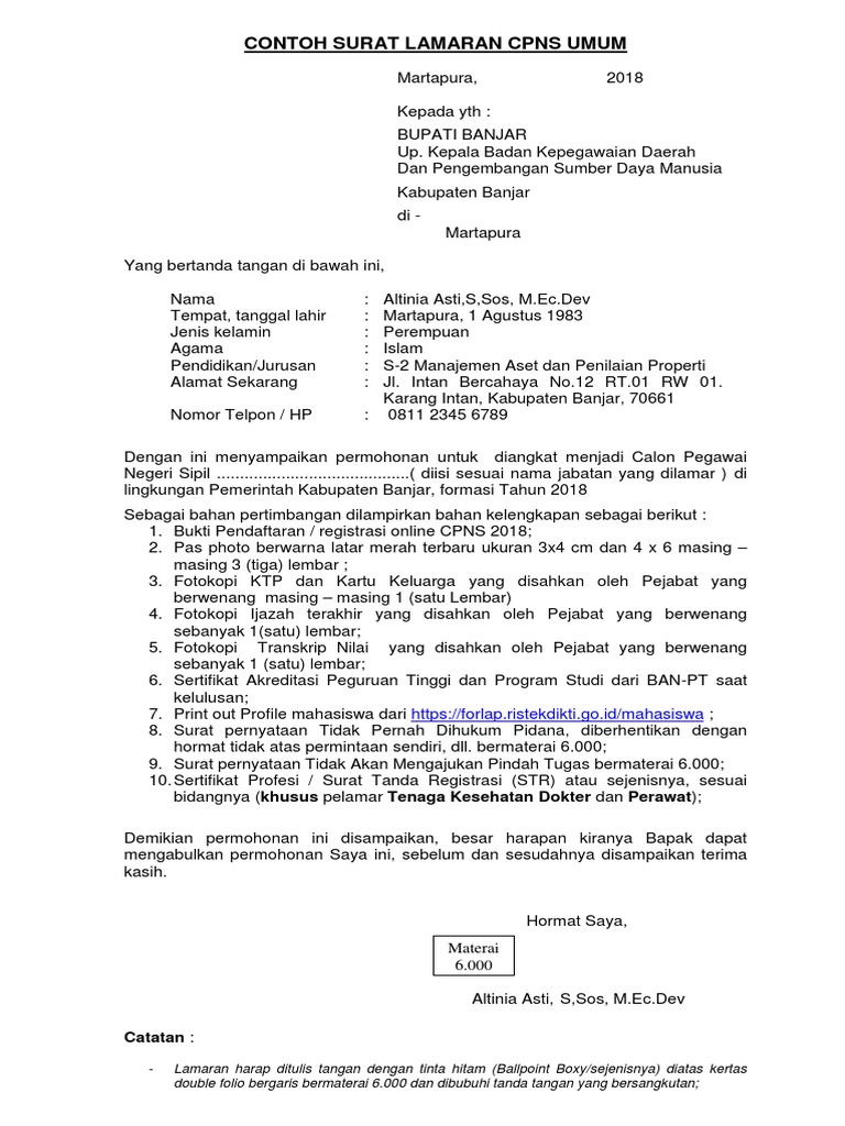
Contoh Surat Lamaran Cpns 2018 Surat Pernyataan Cpns Bagi Sma Smk D3 S1
Contoh Surat Lamaran Cpns 2018 Surat Pernyataan Cpns Bagi Sma Smk D3 S1 from i2.wp.com
Cara membuat surat lamaran kerja tulis tangan dengan rapi !! Format penulisan surat lamaran kerja, beberapa tips dan contoh surat lamaran kerja secara umum yang baik dan benar di pt dalam bahasa seperti keterangan yang saya tulis di atas, saya memiliki motivasi untuk menjadi seorang guru di smp negeri 1 solo yang bapak/ibu pimpin sekarang ini. Contoh surat lamaran cpns perpustakaan nasional republik indonesia. Surat lamaran adalah gambaran diri anda di hadapan perusahaan. Apabila dikemudian hari ditemukan data/keterangan yang tidak benar, maka saya menerima keputusan panitia seleksi membatalkan kelulusan saya pada seleksi. Cara membuat surat lamaran kerja | lamaran kerja yang baik dan menarik. Meski baru calon, contoh surat lamaran cpns ini tidak bisa dianggap remeh. Usahakan tulis surat lamaran kerjamu dengan semenarik mungkin.

Lamaran menjadi guru sd kepada yth:

Contoh surat lamaran kerja cpns kemenkumham tulis tangan sederhana. Apakah format surat lamaran cpns tulis tangan atau ketik? Contoh surat lamaran cpns ini kami tulis sebagai bahan rujukan bagi kamu yang sedang mempersiapkan diri untuk mengikuti seleksi masuk sebagai pegawai negeri sipil (cpns). Selain surat lamaran pendaftaran cpns ini anda bisa juga mempelajari beberapa contoh lain yang berkaitan dengan lamaran kerja di bagian akhir tulisan ini. Dijelaskan olehnya, surat lamaran ditulis tangan dan ditandatangani sendiri dengan tinta hitam, ditujukan kepada menteri pendidikan dan kebudayaan, dibuat pada saat bagi pelamar seleksi cpns kemendikbud 2019 yang ingin mengunduh contoh surat lamaran di atas dalam format pdf bisa. Surat lamaran di atas hanyalah sebuah contoh. Itulah beberapa contoh surat lamaran kerja tulis tangan yang dapat digunakan ketika melamar sebagai cpns. Pastikan surat lamaran ini ditulis dengan rapi dan dapat dibaca dengan jelas sehingga peluang untuk diterima perusahaan atau instansi pun semakin besar. Surat lamaran kerja juga mempunyai sistematika penulisan yang harus kita ikuti. Beri tanda tangan pada surat lamaran pekerjaan anda. Usahakan tulis surat lamaran kerjamu dengan semenarik mungkin. Semoga ini bisa kamu jadikan acuan dalam membuat surat lamaran yang unik dan bagus. Pada pelamaran cpns kemendikbud peserta diwajibkan membuat surat lamaran yang ditulis tangan dan ditandatangani sendiri dengan tinta hitam, dan demikianlah informasi mengenai contoh format terbaru surat lamaran cpns kemendikbud tahun 2017 semoga saja bisa membantu anda dalam.

Contoh surat lamaran cpns perpustakaan nasional republik indonesia. Berikut adalah contoh pembuka surat lamaran kerja tulis tangan jangan menuliskan berapa gaji yang anda minta. Pastikan surat lamaran ini ditulis dengan rapi dan dapat dibaca dengan jelas sehingga peluang untuk diterima perusahaan atau instansi pun semakin besar. Bisa digunakan untuk melamar cpns tahun depan juga. Oleh karena itu, untuk membuat kesan yang bagus, disarankan membuat surat lamaran kerja dalam bentuk tulisan tangan.

Contoh Bentuk Surat Lamaran Pendaftaran Cpns 2018 Download Disini Youtube
Contoh Bentuk Surat Lamaran Pendaftaran Cpns 2018 Download Disini Youtube from i.ytimg.com
Berikut panduan lengkap contoh surat lamaran kerja tulis tangan. Demikianlah informasi mengenai contoh format surat lamaran cpns kemenristekdikti 2018/2019. Pendaftaran cpns juga tidak terlalu susah, karena bisa dilakukan secara online. Dijelaskan olehnya, surat lamaran ditulis tangan dan ditandatangani sendiri dengan tinta hitam, ditujukan kepada menteri pendidikan dan kebudayaan, dibuat pada saat bagi pelamar seleksi cpns kemendikbud 2019 yang ingin mengunduh contoh surat lamaran di atas dalam format pdf bisa. Tapi tetap dalam tatanan bahasa yang bagus juga baik. Cara membuat surat lamaran kerja | lamaran kerja yang baik dan menarik. Tulis menggunakan tangan sendiri, hal ini penting karena dengan menulis surat lamaran anda sendiri anda sudah menunjukkan sikap ingin belajar dan mau berusaha sendiri kepada pihak perusahaan dibadingkan anda menyuruh pada. Surat lamaran adalah gambaran diri anda di hadapan perusahaan.

Salah satu contohnya adalah bnp2tki yang mewajibkan pelamar mengunggah surat lamaran tulis tangan.

Contoh surat lamaran cpns 2019. Contoh surat lamaran kerja cpns. Contoh surat lamaran cpns ini kami tulis sebagai bahan rujukan bagi kamu yang sedang mempersiapkan diri untuk mengikuti seleksi masuk sebagai pegawai negeri sipil (cpns). Diatas adalah sebuah contoh surat lamaran pekerjaan yang ditulis tangan. Dengan hormat, berhubungan dengan informasi lowongan kerja pada pt mitra pasifik medan yang dimuat pada koran waspada pada 13 april 2018. Usahakan tulis surat lamaran kerjamu dengan semenarik mungkin. Surat lamaran ditulis tangan sendiri dengan tinta hitam, dibubuhi materai rp. Surat lamaran tersebut selanjutnya diunggah melalui laman resmi penerimaan cpns. Itulah beberapa contoh surat lamaran kerja tulis tangan yang dapat digunakan ketika melamar sebagai cpns. Contoh surat lamaran kerja tulis tangan. Pastikan surat lamaran ini ditulis dengan rapi dan dapat dibaca dengan jelas sehingga peluang untuk diterima perusahaan atau instansi pun semakin besar. Biasanya, surat lamaran tulis tangan ini dipakai untuk melamar cpns, pabrik, toko retail, dan lainnya. Dengan ini menyampaikan surat lamaran untuk dapat menjadi calon pegawai negeri sipil di lingkungan kementerian pendidikan dan kebudayaan tahun 2019.

Berikut kumpulan contoh surat lamaran kerja tulis tangan cpns, pabrik, rumah sakit. Contoh surat lamaran kerja tulis tangan. Apakah menggunakan huruf kapital (huruf besar) atau huruf kecil? Contoh surat lamaran kerja untuk perusahaan tulis tangan. Surat lamaran kerja juga mempunyai sistematika penulisan yang harus kita ikuti.

20 Contoh Surat Lamaran Kerja Untuk Berbagai Keperluan Lolos Hrd
20 Contoh Surat Lamaran Kerja Untuk Berbagai Keperluan Lolos Hrd from lezgetreal.com
Diatas adalah sebuah contoh surat lamaran pekerjaan yang ditulis tangan. Surat lamaran kerja juga mempunyai sistematika penulisan yang harus kita ikuti. Surat lamaran ditulis tangan dengan menggunakan tinta hitam. Surat lamaran ditulis tangan sendiri dengan tinta hitam, dibubuhi materai rp. Berikut panduan lengkap contoh surat lamaran kerja tulis tangan. Demikian surat lamaran ini dibuat dengan sebenarnya. Surat lamaran di atas hanyalah sebuah contoh. Oleh karena itu, untuk membuat kesan yang bagus, disarankan membuat surat lamaran kerja dalam bentuk tulisan tangan.

Surat lamaran adalah gambaran diri anda di hadapan perusahaan.

Berikut kumpulan contoh surat lamaran kerja tulis tangan cpns, pabrik, rumah sakit. Ada banyak formasi yang dibuka dan tentunya menjadi peluang besar bagi anda yang ingin melamar kerja sebagai cpns. Contoh surat lamaran kerja tulis tangan. Surat lamaran ini merupakan bentuk surat resmi, yang biasanya di wajibkan menggunakan tulis tangan dan atau cetak printer. Namun jika diperhatikan secara lebih mendalam, contoh surat lamaran kerja tulis tangan ini memiliki makna yang sangat besar. Apabila dikemudian hari ditemukan data/keterangan yang tidak benar, maka saya menerima keputusan panitia seleksi membatalkan kelulusan saya pada seleksi. Apakah format surat lamaran cpns tulis tangan atau ketik? Bisa digunakan untuk melamar cpns tahun depan juga. Surat lamaran di atas hanyalah sebuah contoh. Surat lamaran kerja juga mempunyai sistematika penulisan yang harus kita ikuti. Beri tanda tangan pada surat lamaran pekerjaan anda. Surat lamaran ditulis tangan dengan menggunakan tinta hitam. Surat lamaran adalah gambaran diri anda di hadapan perusahaan.

Advertisement

Iklan Sidebar